OGÓLNOPOLSKI KONKURS MATEMATYCZNY ON-LINE
BE QUICK AND WIN!
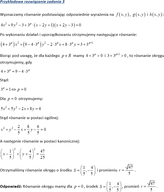
Zadania konkursowe:
Laureaci 7. edycji Konkursu Be Quick and Win!:
| Miejsce | Imię i nazwisko |
|---|---|
| 1. | Jan Jankowski |
| 2. | Antoni Pierzchała |
| 3. | Patryk Danieluk |
| 4. | Angelika Kołoda |
| 5. | Adam Przychodzeń |
| 6. | Jakub Kruzel |
| 7. | Aleksandra Kajzer |
| 8. | Wiktoria Gajęcka |
| 9. | Katarzyna Sawtyruk |
| 10. | Mateusz Furman |
Organizatorzy Konkursu Be Quick and Win! serdecznie gratulują Laureatom konkursu
Nagrody przyznane w 7. edycji:
miejsca 1-3: Słuchawki bezprzewodowe dokanałowe; Dysk zewnętrzny SSD; smartwatch
O pierwszeństwie wyboru jednej z nagród decydowała kolejność zajętego miejsca.
miejsca 4-10: książki popularno-naukowe.
Plakat 7. edycji:
Be Quick and Win!
Politechnika Częstochowska, Katedra Matematyki, Al. Armii Krajowej 21, 42-200 Częstochowa
tel.: +48 34 3250 757, +48 34 3250 324
e-mail: konkurs_bqw@pcz.pl